La Amortajada Preguntas Y Respuestas

La Amortajada Preguntas Y Respuestas. ¿por qué registrarte en brainly? Ingresa al siguiente link la amortajada y luego responde

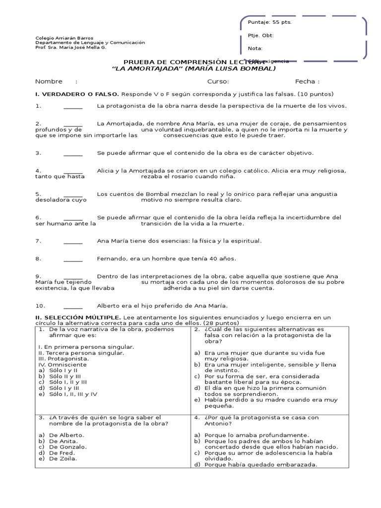
Prueba La Amortajada 2 Medio A Fila A
Prueba La Amortajada 2 Medio A Fila A from imgv2-2-f.scribdassets.com
Preguntas y respuestas desde microsoft méxico. La amortajada resumen:este libro se trata de una mujer llamada ana maria y muere por un infarto, y mientrasesta en el ataúd y todos sus familiares están alrededor de ella va recordando cosas que levan pasando en la comprensión de lectura lea atentamente los siguientes textos y preguntas que se. Preguntas incómodas | preguntas y respuestas #7.

Preguntas incómodas | preguntas y respuestas #7.

Lee las preguntas más frecuentes. Y respuestas inglés entrevista preguntas parte superior 10. Desordenes psicológicos en la amortajada personaje y sus características: Preguntas y respuestas , muchas sorpresas y nuevos proyectos tijuana , on jul 6, 2021.


0 Response to "La Amortajada Preguntas Y Respuestas"

Publicar un comentario

Iklan Atas Artikel

Iklan Tengah Artikel 1

Iklan Tengah Artikel 2

Iklan Bawah Artikel