Formulario Fisica Elettromagnetismo

Formulario Fisica Elettromagnetismo. Formulario fisica ii elettromagnetismo  elettrostatica = 0 = costante dielettrica assoluta; R = costante dielettrica relativa nel vuoto( e nella maggior parte dei gas.

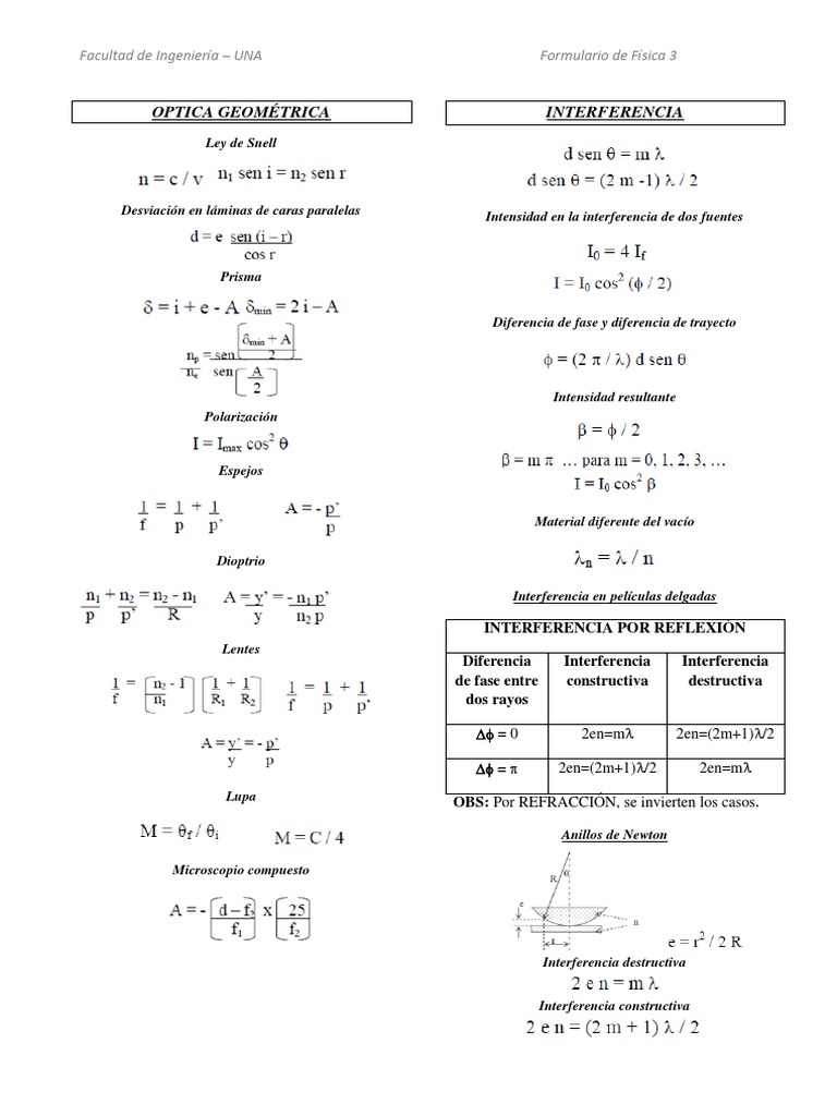
Formulario de Fisica 3 - Final
Formulario de Fisica 3 - Final from imgv2-1-f.scribdassets.com
Formulario fisica ii elettromagnetismo  elettrostatica = 0 = costante dielettrica assoluta; = o r = costante dielettrica assoluta ; Q = cariche (in c);

Informare gli studenti di fisica generale 2 ed elettromagnetismo.

Elementi di calcolo vettoriale, legge di coulomb, inoltre. In questo video facciamo i primi passi nell'elettromagnetismo. Formulario di fisica 2 (elettromagnetismo). You can choose the formulario fisica apk version that.


0 Response to "Formulario Fisica Elettromagnetismo"

Publicar un comentario

Iklan Atas Artikel

Iklan Tengah Artikel 1

Iklan Tengah Artikel 2

Iklan Bawah Artikel