Formulario De Ondas Electromagneticas

Formulario De Ondas Electromagneticas. Un modelo de ello suelen ser los medios que pueden hacerse en línea, tal como el formulario de campos y ondas electromagneticas, que su procedimiento acostumbra resultar muy sencillo, además de apoyar las labores ambientalistas al disminuir el empleo del papel. Índice conceptos de onda conceptos de onda electromagnética

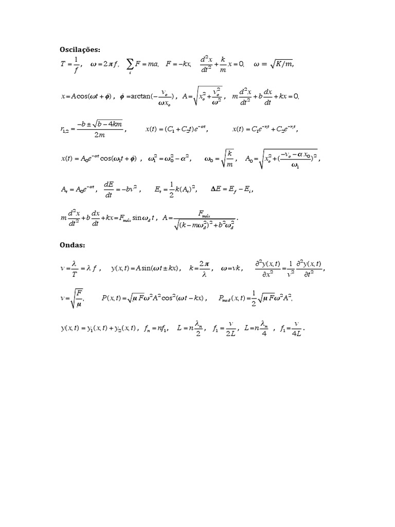
Formulário de Física 2 - Oscilações e Ondas
Formulário de Física 2 - Oscilações e Ondas from imgv2-2-f.scribdassets.com
Análisis de fourier del movimiento ondulatorio 8 7. Ondas electromagnéticas viajeras ondas longitudinales. Merma jara referencias física universitaria, vol 2, 12va edición, sears, zemansky, young.

Formulario de diferenciales basicas, utilizadas en el estudio de ondas electromagneticas by raziel_campuzano in formulario

2) hallar la frecuencia y el periodo de una onda de radio cuya longitud de onda es de 132,2 m. L os límites vigentes en españa son de densidad de potencia de 1.000 μw/cm2 para rangos de frecuencia de telefonía móvil (2ghz). Un modelo de ello suelen ser los medios que pueden hacerse en línea, tal como el formulario de campos y ondas electromagneticas, que su procedimiento acostumbra resultar muy sencillo, además de apoyar las labores ambientalistas al disminuir el empleo del papel. En la actualidad hay varios estudios en curso para.


0 Response to "Formulario De Ondas Electromagneticas"

Publicar un comentario

Iklan Atas Artikel

Iklan Tengah Artikel 1

Iklan Tengah Artikel 2

Iklan Bawah Artikel